El Departamento de Estado norteamericano ha confirmado a Radio y Televisión Martí que por primera vez desde los acuerdos migratorios adoptados tras la crisis de los balseros en 1994-95, en el Año Fiscal estadounidense 2018 (FY 2018) que concluyó el 30 de septiembre, no se pudo cumplir el compromiso de otorgar un mínimo de 20.000 visas de inmigrante a ciudadanos cubanos.
En un correo electrónico, un funcionario de la cancillería recordó que “los Estados Unidos cumplieron su compromiso de garantizar que la migración legal total a los Estados Unidos desde Cuba fuera de un mínimo de 20.000 cubanos en los años fiscales 2016 y 2017.
Dicho compromiso se cumple a través de la emisión de visas de inmigrante, adjudicadas por el Departamento de Estado y documentos “parole” proporcionados por el Departamento de Seguridad Nacional”.
La nota subraya que el Departamento de Estado hace todo lo posible para cumplir con el compromiso cada año, pero explica que el 29 de septiembre de 2017, el Departamento ordenó la salida de empleados no considerados de emergencia de la Embajada de los Estados Unidos en La Habana y sus familiares, “a fin de proteger la seguridad de nuestro personal y sus familiares”.
Recuerda que la embajada ahora opera con el personal mínimo necesario para realizar funciones diplomáticas y consulares básicas, similar al nivel de personal de emergencia mantenido durante la orden de salida.
“La cantidad significativamente reducida de personal consular en Cuba restringe nuestras operaciones de visas. Debido a la reducción significativa del personal en la Embajada de los Estados Unidos en La Habana, no pudimos cumplir con ese compromiso en el año fiscal 2018”, concluye la nota.
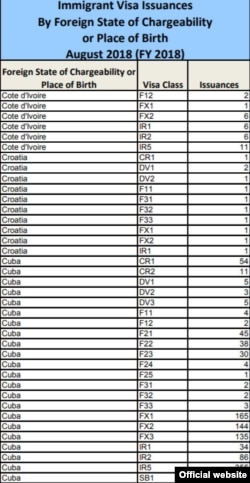
Aunque los datos de septiembre aún no han sido publicados, con las 1.130 visas de inmigrante otorgadas en agosto pasado el total de visados de este tipo emitidos en los primeros once meses del FY 2018 sumarían 4.459, poco menos del 25 % del compromiso contraído en 1995.
La cifra no incluye las visas concedidas bajo el Programa Cubano de Reunificación Familiar, que son significativamente menos y son otorgadas por el Departamento de Seguridad Nacional (DHS).
Desde la reducción de personal ordenada por la cancillería en vista de la recurrencia durante más de nueve meses de extraños ataques contra la salud de diplomáticos estadounidenses y sus familiares, Washington ha procurado habilitar sedes consulares alternativas para procesar a los cubanos, primero en Colombia, hasta marzo de este año, y luego en Guyana, adonde pueden viajar sin necesidad de visa.
Pero la necesidad de hacer los trámites fuera del país los complica y encarece para los cubanos, al tiempo que ha resultado en una drástica caída del ritmo de procesamiento.
A principios de marzo el corte de personal fue oficializado como permanente, mientras continúa una investigación sobre el llamado “Síndrome de La Habana” que causó, entre otros, trastornos cognitivos, del equilibrio, de la vista y auditivos a 26 estadounidenses y a unos 12 canadienses. En la pesquisa participan organismos de salud, inteligencia, seguridad y otros del gobierno de EEUU.
La reducción de la nómina de la Embajada afectó paralelamente la entrega de documentos de viaje temporal para visitas familiares, intercambios culturales y viajes de negocios entre otros fines con unas 2.000 visas a ciudadanos cubanos hasta mayo, un recorte de alrededor de 30 % y el más drástico al número de visitantes desde la isla en las últimas dos décadas.
(Redactado por Rolando Cartaya con la colaboración de Wilfredo Cancio, información del Dpto de Estado y archivo Radio y TV Martí)